Ferze kann da sogar mitreden ![]()
ave frater
mit dem Antiphone versandt
Ferze kann da sogar mitreden ![]()
ave frater
mit dem Antiphone versandt
So erstmal für 6,50€ prepaid Karten im wert von 40€ gesichert^^ shopping Tour im playstore geht^^
Ferze kann da sogar mitreden
ave frater
mit dem Antiphone versandt
Ist aber auch da einzige was er kann ![]()
Hi Leute,
Nein D, du bist nicht allein. War in Mathe auch keine helle
Leuchte.
Gesendet von meinem HTC One X mit Tapatalk 2
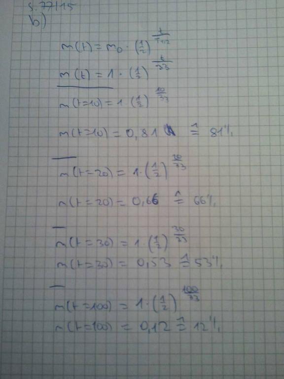
Passt dann das, was ich hier für die Aufgabe b) ausgerechnet habe?
![]()
Hi Leute,
Nein D, du bist nicht allein. War in Mathe auch keine helle
Leuchte.Gesendet von meinem HTC One X mit Tapatalk 2
Dito, Mathe stinkt...
Habt ihr schon mal Real Boxing gespielt? Wirklich sehr zu empfehlen!
Richtig spannend, nicht zu leicht und mit lecker Grafik :eek:.
@Donnie > kaufen
https://itunes.apple.com/us/app/real-boxing/id534473264?mt=8
Die armen Griechen. Jetzt müssen sie sogar schon ihr Gehirn verkaufen.
Ein Spieler von AEK Athen, hat nach nem Tor den Hitlergruß gezeigt, und meinte nach dem Spiel (als der Griechische Verband meinte er darf nie wieder für die Nationalmannschaft spielen): "Ich hätte die Geste nie gezeigt wenn ich gewust hätte was für eine Bedeutung sie hat".
[size=8]-- Beitrag Aktualisiert um 14:58 Uhr -- Vorheriger Beitrag war von 14:58 Uhr --[/SIZE]
Ewald Lienen unterstützt seine Aussage dazu aber auch^^ Jung und so, keine Ahnung was in der Welt vorgeht^^
Ach zettel lienen. Der ist froh das er überhaupt noch irgendwo arbeit hat. Kann er mir nicht erzählen das er den nicht kennt. Bei aller Liebe.
[COLOR=#84DF18]Gesendet über eine PET-Flasche (via Täbähtalg)[/COLOR]
Es gibt Leute die glauben er lebt noch dann glaub ich auch das
Naja gut - viele Amis denken ja auch bei uns sind die Nazis noch an der Macht ![]()
Fabi, studierst du iwas in die Richtung?
Studiere composites / verbundwerkstoffe
Passt dann das, was ich hier für die Aufgabe b) ausgerechnet habe?
Gerade weder Aufgabe noch Taschenrechner zur Hand.
Wenn du die Formel von mir nur umgestellt hast, sollte es auf jedenfall passen. Ergebnisse sehen ja auch logisch aus.
Starr mich nicht so an, ich bin auch nur eine Signatur!
[DLMURL="
Würdet ihr bei nem neuen Monitor eher zu LG oder zu BenQ greifen?
Gesendet von meinem C6603 mit Tapatalk 2
Eher zu iiyama. :p
habe gerade gelesen das ich ab dem 16. vertragsmonat verlängern kann... normal waren es doch 3 monate vor ende... ist das jetzt bei allen anbietern so?
Äh Achja stimmt, verdammt, einen Moment.
Also ein Moment dauert bei dir 5 Stunden? :eek::D
ave frater
mit dem Antiphone versandt
Würdet ihr bei nem neuen Monitor eher zu LG oder zu BenQ greifen?
Gesendet von meinem C6603 mit Tapatalk 2
LG. Benq hatte ich mal einen der war total scheiße und schnell kaputt.
Also ein Moment dauert bei dir 5 Stunden? :eek::D
ave frater
mit dem Antiphone versandt
Das ihr Ösis nicht die schnellsten seid, solltest du doch selber wissen.
Sie haben noch kein Benutzerkonto auf unserer Seite? Registrieren Sie sich kostenlos und nehmen Sie an unserer Community teil!