Sekunde ich schreibs dir auf
Starr mich nicht so an, ich bin auch nur eine Signatur!
Sekunde ich schreibs dir auf
Starr mich nicht so an, ich bin auch nur eine Signatur!
Starr mich nicht so an, ich bin auch nur eine Signatur!
Verstehst du das so?
Starr mich nicht so an, ich bin auch nur eine Signatur!
gerade mal geschaut... ich nutze jetzt über ein jahr mein galaxy s2... solange hatte ich noch nie ein handy... und es sieht noch immer aus wie neu...
Gesendet von meinem Nexus 7 mit Tapatalk 2
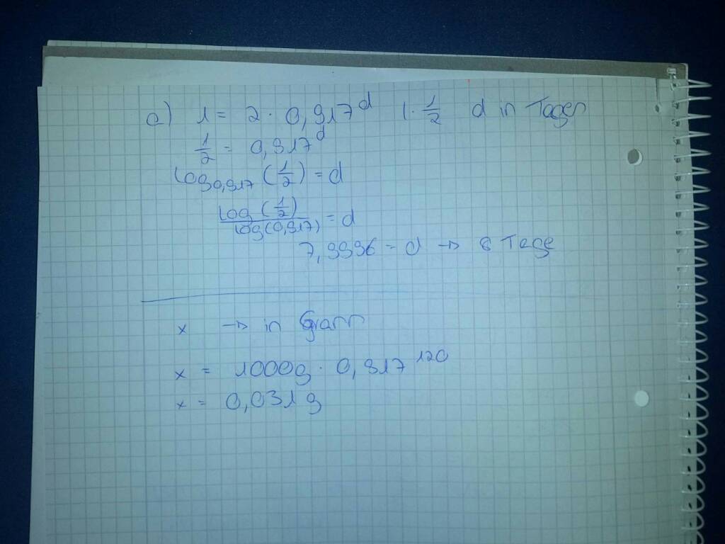
Hey Super, danke! Aber wie kommst du auf die 0,917d?
100% - 8,3% die es pro tag abnimmt.
Das d ist dir Zeitangabe, hier in Tagen, da es ja Pro tag um 8,3% weniger wird
Starr mich nicht so an, ich bin auch nur eine Signatur!
Wieso nehmt ihr
Nicht
N=N0*e^-lambda*t
Oder N0/N=e^-lambda*t
Das zweitere ist hald auf der linken Seite die Prozentzahl.
ave frater
mit dem Antiphone versandt
Ist doch das gleiche?
Denke aber das seine Schwester noch zur Schule geht und da hab ich es so gelernt.
Du kannst das da auf zig verschiedene weisen lösen
Starr mich nicht so an, ich bin auch nur eine Signatur!
Okay, d.h., die 1 ist quasi m(0). 0,917 ist mir jetzt auch klar. Was ich noch nicht so recht verstehe ist, wieso du das ganze mal 2 nimmst.
Weil bei der Halbwertszeit ja sozusageb aus 2 eine 1 wird.
Also ist 2 der Anfangszeit der mit 0,917 hoch d abnimmt bis nach der zeit d dann 1 rauskommt, was die Hälfte ist.
Hier kannst du auch 50 und 100 oder 2 und 4 oder was immer du magst nehmen
Starr mich nicht so an, ich bin auch nur eine Signatur!
Starr mich nicht so an, ich bin auch nur eine Signatur!
Da lobe ich mir das simple
/U\
/R*I\
Gruß Alex
Alles klar, danke!
Ich habs jetzt verstanden, jetzt muss ich mir nur noch überlegen, wie ich das meiner Schwester erkläre
Kein Problem. Nach house Mechanik kram die zweite gute Tat heute also hab ich morgen Urlaub.
Ja Alex uri ist schon toll:D
Starr mich nicht so an, ich bin auch nur eine Signatur!
Wtf oO
Fabi, studierst du iwas in die Richtung?
Pah Elektrotechnik, damit kannst mich jagen!
Hat deine Schwester die eulersche Zahl noch nicht gelernt?
ave frater
mit dem Antiphone versandt
Bin ich dumm oder geht es noch jemandem so das er aus den letzten Beiträgen NICHTS versteht?
Das ist doch sau leicht.
ave frater
mit dem Antiphone versandt
Ein Glück ist ferze nicht da - der würde wieder in seinem Pseudohochgestochenen deutsch daher kommen und wie ein kleines Kind auf dem "Bin ich dumm [...]" rumspringen.
Sie haben noch kein Benutzerkonto auf unserer Seite? Registrieren Sie sich kostenlos und nehmen Sie an unserer Community teil!